Dwa fotony światła zostały równocześnie w przeciwne strony. Wiedząc to, określ ich prędkość względną:
A.
B.
C.
D.
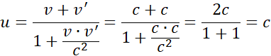
Rozwiązanie
Odp. D.
Wyjaśnienie
Wykorzystaj wzór relatywistyczny na składanie prędkości. Wstaw odpowiednie wartości prędkości, wiedząc, że fotony poruszają się z prędkością światła i wykonaj obliczenia.