Udowodnij, że dla małych prędkości transformacja Lorentza przyjmuje postać tej Galileusza.
Rozwiązanie
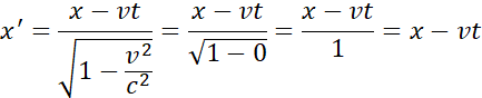
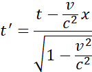
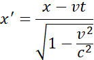
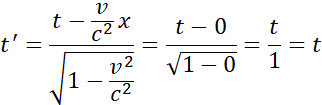
Transformacja Lorentza:
Zakładamy, że , co oznacza, że:
oraz
Wyjaśnienie
Wiedząc, że prędkość jest zdecydowanie mniejsza niż prędkość światła , zapisz, że stosunek tych dwóch wartości jest w przybliżeniu równy . Wstaw wynik do transformacji Lorentza i wykonaj obliczenia.