Na podstawie transformacji Lorentza:
Całkowita energia w podejściu relatywistycznym:
Razem:
Dla
Można zastosować wzór przedstawiony w treści zadania.
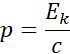
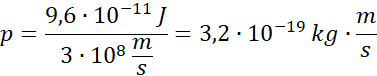
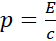
Na początku wykaż prawdziwość wzoru zapisanego w treści zadania. Wykorzystaj wzór wiążący energię i pęd wynikający z transformacji Lorentza oraz wzór na całkowitą energię w podejściu relatywistycznym. Na koniec wstaw dane liczbowe w odpowiednich jednostkach (np. układu SI) i wykonaj obliczenia.