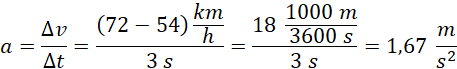
a) W chwili t1 samochód jechał z szybkością 54 km/h, a w chwili t2 z szybkością 72 km/h.
b) Szybkość samochodu wzrosła o 18 km/h w czasie 3 s.
c)
Długość 1 wektora: 12 mm – 12 : 4 = 3 – mieszczą się 3 odcinki po 4 mm,
3 · 18 km/h = 52 km/h
Długość 2 wektora: 16 mm – 16 : 4 = 4 – mieszczą się 4 odcinki po 4 mm,
4 · 18 km/h = 72 km/h
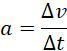
przyspieszenie = zmiana prędkości w czasie
1 h = 3600 s