Skul.pl
  • Opracowania zadań z podręczników
  • Świat fizyki. Klasa 7. Zeszyt ćwiczeń - rozwiązania i odpowiedzi
  • Ćwiczenie 1.

Świat fizyki. Klasa 7. Zeszyt ćwiczeń - rozwiązania i odpowiedzi

Zeszyt ćwiczeń, Wydawnictwo: WSiP
Poprzednie

Ćwiczenie 1. - strona 57

Następne

Zadanie

W tym zadaniu musisz poszukać, ile czasu potrzebują 3 wybrane przez Ciebie samochody, aby rozpędzić się do 100 km/h. Oblicz, jakie mają przyspieszenie. Wpisz wszystko do tabeli.

Rozwiązanie

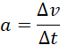
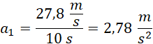
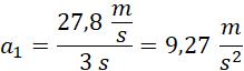
Marka samochoduCzas rozpędzania do 100 km/h (s)Wartość przyspieszenia (m/s2)
Hyundai102,78
Skoda14,7 1,89
Audi3 9,27

Skul

Wyjaśnienie

Poprzednie
Następne

Fizyka - wybrane pytania

Ćwiczenie 31.1, strona 145, Fizyka. Klasa 3. Zakres rozszerzony. Zbiór zadań - rozwiązania i odpowiedzi
Zadanie 12.2, strona 228, Fizyka. Klasa 4. Poziom rozszerzony. Podręcznik - rozwiązania i odpowiedzi
Pytanie Podejmij temat 2, strona 109, Fizyka. Klasa 8. Podręcznik - rozwiązania i odpowiedzi
Zadanie 2., strona 23, Fizyka. To jest fizyka. Klasa 8. Podręcznik - rozwiązania i odpowiedzi
Ćwiczenie 4., strona 37, Świat fizyki. Klasa 7. Zeszyt ćwiczeń - rozwiązania i odpowiedzi
Zadanie 59.3., strona 216, Zbiór zadań z fizyki dla szkoły podstawowej. Klasa 7-8 - rozwiązania i odpowiedzi
Zadanie 24., strona 73, Fizyka. Klasa 7-8. Zbiór zadań - rozwiązania i odpowiedzi
Zadanie 16.12.7., strona 116, Zrozumieć fizykę 4. Zakres rozszerzony. Zbiór zadań - rozwiązania i odpowiedzi
Zadanie 8.6., strona 33, Zbiór zadań z fizyki dla szkoły podstawowej. Klasa 7-8 - rozwiązania i odpowiedzi
Ćwiczenie 12.16., strona 37, Świat fizyki. Klasa 8. Zbiór zadań - rozwiązania i odpowiedzi
REKLAMA
Skul
Zadania z tego działu
4. Jak opisujemy ruch?
40
1. Układ odniesienia
40

Ćwiczenie 1.

40

Ćwiczenie 2.

40

Ćwiczenie 3.

40

Ćwiczenie 4.

40

Ćwiczenie 5.

40

Ćwiczenie 6.

41

Ćwiczenie 7.

41
2. Układ odniesienia
42

Ćwiczenie 1.

42

Ćwiczenie 2.

42

Ćwiczenie 3.

42

Ćwiczenie 4.

43

Ćwiczenie 5.

43
3. Ruch prostoliniowy jednostajny
44

Ćwiczenie 1.

44

Ćwiczenie 2.

44

Ćwiczenie 3.

44

Ćwiczenie 4.

45

Ćwiczenie 5.

46
4. Wartość prędkości w ruchu jednostajnym
47

Ćwiczenie 1.

47

Ćwiczenie 2.

47

Ćwiczenie 3.

48

Ćwiczenie 4.

48

Ćwiczenie 5.

48
5. Prędkość w ruchu jednostajnym prostoliniowym
49

Ćwiczenie 1.

49

Ćwiczenie 2.

49

Ćwiczenie 3.

49

Ćwiczenie 4.

50

Ćwiczenie 5.

50

Ćwiczenie 6.

51

Ćwiczenie 7.

51

Ćwiczenie 8.

51
6. Ruch zmienny
52

Ćwiczenie 1.

52

Ćwiczenie 2.

52

Ćwiczenie 3.

52

Ćwiczenie 4.

53

Ćwiczenie 5.

54

Ćwiczenie 6.

54
7. Ruch jednostajnie przyspieszony
55

Ćwiczenie 1.

55

Ćwiczenie 2.

55

Ćwiczenie 3.

56

Ćwiczenie 4.

56
8. Przyspieszenie w ruchu prostoliniowym jednostajnie przyspieszonym
57

Ćwiczenie 1.

57

Ćwiczenie 2.

58

Ćwiczenie 3.

59

Ćwiczenie 4.

59
9. Droga w ruchu prostoliniowym jednostajnie przyspieszonym
60

Ćwiczenie 1.

60

Ćwiczenie 2.

60

Ćwiczenie 3.

60

Ćwiczenie 4.

61
10. Ruch jednostajnie opóźniony
63

Ćwiczenie 1.

63

Ćwiczenie 2.

63

Ćwiczenie 3.

63

Ćwiczenie 4.

64
Pełny spis treści
Skul
Artboard 1
Skul.pl
  • Napisz do nas
  • FAQ
  • Mapa Serwisu
  • Google Play
  • App Store

Korzystanie z portalu oznacza akceptację Regulaminu.
Polityka prywatności. Ustawienia preferencji. Copyright: INTERIA.PL 1999-2023 Wszystkie prawa zastrzeżone.