Skul.pl
  • Opracowania zadań z podręczników
  • Świat fizyki. Klasa 7. Zeszyt ćwiczeń - rozwiązania i odpowiedzi
  • Ćwiczenie 3.

Świat fizyki. Klasa 7. Zeszyt ćwiczeń - rozwiązania i odpowiedzi

Zeszyt ćwiczeń, Wydawnictwo: WSiP
Poprzednie

Ćwiczenie 3. - strona 60

Następne

Zadanie

W tym zadaniu musisz obliczyć, na podstawie wykresu, jakie drogi pokonają ciała w czasie 5 sekund.

Rozwiązanie

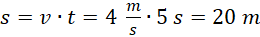
Ciało A:

Ciało B:

Skul

Wyjaśnienie

Ciało A poruszało się ruchem jednostajnym.

Ciało B poruszało się ruchem jednostajnie przyspieszonym.

Poprzednie
Następne

Fizyka - wybrane pytania

Zadanie 24, strona 44, Fizyka. Klasy 1-3. Zakres podstawowy. Zbiór zadań - rozwiązania i odpowiedzi
Zadanie 7.14., strona 61, Zrozumieć fizykę. Klasa 2. Zakres rozszerzony. Zbiór zadań - rozwiązania i odpowiedzi
Zadanie 19., strona 203, Odkryć fizykę. Klasa 2. Podręcznik. Zakres podstawowy - rozwiązania i odpowiedzi
Zadanie 4., strona 194, Odkryć fizykę. Klasa 3. Zakres podstawowy. Podręcznik - rozwiązania i odpowiedzi
Pytanie 12, strona 250, Fizyka. Klasa 8. Podręcznik - rozwiązania i odpowiedzi
Zadanie 5., strona 90, Fizyka. Fizyka z plusem. Klasa 7. Podręcznik - rozwiązania i odpowiedzi
Zadanie 1., strona 21, Fizyka z plusem. Klasa 8. Podręcznik - rozwiązania i odpowiedzi
Pytanie 5, strona 69, Zrozumieć fizykę. Klasa 4. Poziom rozszerzony. Podręcznik - rozwiązania i odpowiedzi
Ćwiczenie 4.9, strona 35, Fizyka. Klasa 3. Zakres rozszerzony. Zbiór zadań - rozwiązania i odpowiedzi
Ćwiczenie 4.59., strona 60, Fizyka. Klasa 1-3. Zakres podstawowy. Zbiór zadań - rozwiązania i odpowiedzi
REKLAMA
Skul
Zadania z tego działu
4. Jak opisujemy ruch?
40
1. Układ odniesienia
40

Ćwiczenie 1.

40

Ćwiczenie 2.

40

Ćwiczenie 3.

40

Ćwiczenie 4.

40

Ćwiczenie 5.

40

Ćwiczenie 6.

41

Ćwiczenie 7.

41
2. Układ odniesienia
42

Ćwiczenie 1.

42

Ćwiczenie 2.

42

Ćwiczenie 3.

42

Ćwiczenie 4.

43

Ćwiczenie 5.

43
3. Ruch prostoliniowy jednostajny
44

Ćwiczenie 1.

44

Ćwiczenie 2.

44

Ćwiczenie 3.

44

Ćwiczenie 4.

45

Ćwiczenie 5.

46
4. Wartość prędkości w ruchu jednostajnym
47

Ćwiczenie 1.

47

Ćwiczenie 2.

47

Ćwiczenie 3.

48

Ćwiczenie 4.

48

Ćwiczenie 5.

48
5. Prędkość w ruchu jednostajnym prostoliniowym
49

Ćwiczenie 1.

49

Ćwiczenie 2.

49

Ćwiczenie 3.

49

Ćwiczenie 4.

50

Ćwiczenie 5.

50

Ćwiczenie 6.

51

Ćwiczenie 7.

51

Ćwiczenie 8.

51
6. Ruch zmienny
52

Ćwiczenie 1.

52

Ćwiczenie 2.

52

Ćwiczenie 3.

52

Ćwiczenie 4.

53

Ćwiczenie 5.

54

Ćwiczenie 6.

54
7. Ruch jednostajnie przyspieszony
55

Ćwiczenie 1.

55

Ćwiczenie 2.

55

Ćwiczenie 3.

56

Ćwiczenie 4.

56
8. Przyspieszenie w ruchu prostoliniowym jednostajnie przyspieszonym
57

Ćwiczenie 1.

57

Ćwiczenie 2.

58

Ćwiczenie 3.

59

Ćwiczenie 4.

59
9. Droga w ruchu prostoliniowym jednostajnie przyspieszonym
60

Ćwiczenie 1.

60

Ćwiczenie 2.

60

Ćwiczenie 3.

60

Ćwiczenie 4.

61
10. Ruch jednostajnie opóźniony
63

Ćwiczenie 1.

63

Ćwiczenie 2.

63

Ćwiczenie 3.

63

Ćwiczenie 4.

64
Pełny spis treści
Skul
Artboard 1
Skul.pl
  • Napisz do nas
  • FAQ
  • Mapa Serwisu
  • Google Play
  • App Store

Korzystanie z portalu oznacza akceptację Regulaminu.
Polityka prywatności. Ustawienia preferencji. Copyright: INTERIA.PL 1999-2023 Wszystkie prawa zastrzeżone.