a) W przedziale czasu oznaczonym jako I ciało poruszało się ruchem jednostajnie przyspieszonym. Szybkość ciała w tym przedziale wzrosła. W przedziale czasu oznaczonym jako II ciało poruszało się ruchem jednostajnym prostoliniowym. Szybkość w tym przedziale była stała.
b) Wartość przyspieszenia wynosiła:
w przedziale I: a1 = 2
w przedziale II: a2 = 0
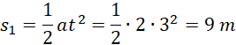
c) W czasie 3 sekund ciało przebyło drogę:
s1 = 9 m
W czasie następnych 6 sekund ciało przebyło drogę:
s2 = 36 m
W czasie 9 sekund ciało przebyło drogę:
s = 45 m