Zadanie

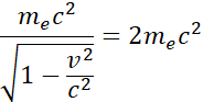
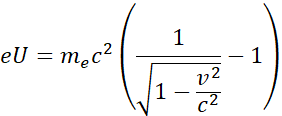
Określ różnicę potencjałów elektrycznych, o którą powinien być przyśpieszony elektron, żeby jego energia całkowita była razy większa od energii spoczynkowej. Wiedz, że masa elektronu kg, a ładunek elementarny C.

Rozwiązanie

Wyjaśnienie

Zadania z tego działu
Elementy fizyki relatywistycznej
271