Wiedząc, że góra lodowa o objętości i gęstości dryfuje po Atlantyku, określ, o ile większą masę będzie miała woda po stopnieniu góry. Załóż, że ciepło topnienia lodu to.
Rozwiązanie
Wyjaśnienie
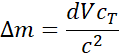
Gdy góra topnieje, dostarczana jest do niej energia. Zgodnie z zasadą zachowania energii w podejściu relatywistycznym zmieniana jest ona w przyrost energii spoczynkowej. Zapisz tę zależność, przekształć wzory i wstaw dane liczbowe.