s = 3500 m
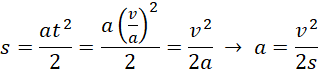
Przyspieszenie pociągu:
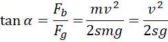
Wyznaczenie kąta:
Na kulkę działa siła grawitacji oraz siła bezwładności związana z ruchem pociągu. Kąt odchylenia jest taki sam, jak kąt pomiędzy siłą grawitacji a przeciwprostokątną trójkąta (patrz rysunek w rozwiązaniu). Możesz wyznaczyć tangens tego kąta i w tablicach wartości funkcji trygonometrycznych sprawdzić, dla jakiego kąta tangens osiąga wyznaczoną wartość.