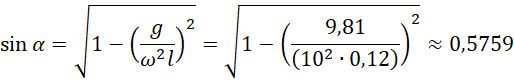
Porównanie wartości sinusów:
Wyznaczenie wartości sinus:
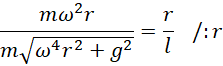
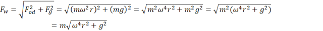
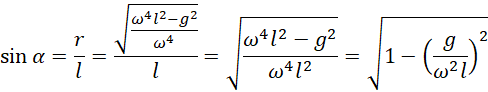
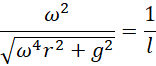
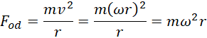
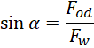
Aby wyznaczyć kąt nachylenia, znajdź wartość funkcji trygonometrycznej tęgo kąta. W rozwiązaniu wyszukano sinusa. Można go wyznaczyć na dwa sposoby: ze stosunku boków trójkąta, który powstanie z ramienia i promienia, a także z wartości sił dośrodkowej i ciężkości. Przyrównując te dwa sposoby do siebie, uzyskasz wartość promienia, którego okrąg zatacza kula. To z kolei pozwoli wyznaczyć ci wartość funkcji sinus i znaleźć wartość kąta w tablicach z wartościami funkcji trygonometrycznych.