Zadanie

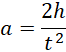
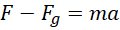
Oblicz, jaką siłą działano na ciężarek o masie 0,5 kg, jeśli był w spoczynku, ale w ciągu 5 s został podniesiony na wysokość 2,5 m.

Rozwiązanie

Wyjaśnienie

Zadania z tego działu
4. Ruch i siły
113