Dane:
m = 450 g = 0,45 kg
β = 90°
Z poprzedniego Podpunkt:u:
Korzystając z ilustracji, możemy zapisać:
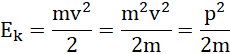
Energię kinetyczną ciała możemy zapisać następująco:
Dzięki czemu zasadę zachowania energii możemy zapisać:
Po wstawieniu wartości pędów po zderzeniu:
Co daje:
Po przekształceniach:
Odpowiedź: Masa drugiej kuli to 900 g.
Wykonaj rysunek pomocniczy i zaznacz na nim pędy każdej z kul. Wykorzystaj wartość kąta wyliczoną w poprzednim podpunkcie i wyznacz wartość pędu drugiej kuli w zależności od początkowego pędu pierwszej kuli. Następnie przekształć wzór na energię kinetyczną ciała, mnożąc licznik i mianownik przez masę ciała – w liczniku pojawi się kwadrat pędu, a w mianowniku – podwojona masa. Zastosuj zasadę zachowania energii dla układu dwóch kul, a następnie w miejsce pędu każdej z kul po zderzeniu wstaw zależności z pędem początkowym. Skróć pęd i wyznacz szukaną masę.