Dane:
x = 75 cm = 0,75 m
k = 240
m = 37 g = 0,037 kg
η = 85% = 0,85
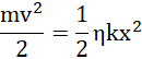
Praca, jaką wykona łucznik, jest równa przyrostowi energii potencjalnej sprężystości:
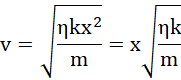
Energia kinetyczna strzały to 85% energii potencjalnej sprężystości łuku:
Odpowiedź: Łucznik wykonał pracę o wartości 67,5 J, a prędkość nadana strzale wyniosła 55,7
Pamiętaj, praca wykonana podczas naciągania cięciwy jest równa przyrostowi energii potencjalnej sprężystości łuku (na początku wartość energii wynosi zero). Wartość energii potencjalnej sprężystości poznasz, mnożąc połowę współczynnika sprężystości przez kwadrat wydłużenia. Aby poznać prędkość strzały, przyrównaj do siebie wzór na energię potencjalną sprężystości oraz energię kinetyczną pomnożoną przez podany procent. Z otrzymanej równości wyznacz i wylicz prędkość.