Dane:
v = 11
μ = 0,12
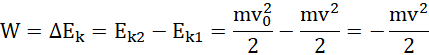
Wartość pracy jest równa wartości przyrostu energii kinetycznej:
Pracę możemy przedstawić także:
więc:
Odpowiedź: Krążek pokonał odległość 51,4 m
Pamiętaj, praca to przyrost energii mechanicznej, czyli różnica pomiędzy wartością końcowej energii mechanicznej i wartością energii mechanicznej na początku (krążek porusza się po płaskim podłożu, więc zmianie ulega tylko energia kinetyczna). Na końcu ruchu krążek zatrzymał się, więc jego energia kinetyczna wyniosła wtedy zero. Następnie zapisz inny wzór na pracę wykonaną przez siłę tarcia – jest to iloczyn tejże siły, przemieszczenia i cosinusa kąta pomiędzy nimi (siła tarcia ma zwrot przeciwny do ruchu ciała, więc kąt wynosi 180 stopni). Przyrównaj do siebie otrzymane wyrażenia i wyznacz z nich szukaną drogę.