Dane:
m1 = 3 kg
v01 = 2
m2 = 5 kg
Niech oś układu współrzędnych będzie zwrócona zgodnie z kierunkiem ruchu mniejszej kuli przed zderzeniem.
Z zasady zachowania pędu:
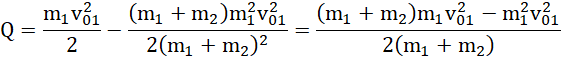
W przypadku zderzenia niesprężystego energia kinetyczna kul nie jest zachowana – jej część zamienia się w energię wewnętrzną kul, która jest równa ciepłu wydzielonemu podczas zderzenia:
więc:
Wstawiając wyznaczoną wcześniej prędkość kul po zlepieniu:
Odpowiedź:
Pamiętaj, podczas zderzenia niesprężystego kule zlepią się ze sobą i będą poruszać się ze wspólną prędkością. Korzystając z zasady zachowania pędu, wyznacz tę prędkość – pęd początkowy to pęd poruszającej się kuli (pęd drugiej wynosi w tym momencie zero), a pęd końcowy to pęd zlepionych kul (iloczyn prędkości wspólnej i sumy mas kul). Podczas zderzenia niesprężystego nie mamy do czynienia z zasadą zachowania energii – część energii kinetycznej po zderzeniu przekształca się w energię wewnętrzną kul (jest ona równa ciepłu). Oznacza to, że ciepło to suma energii kinetycznej każdej z kul przed zderzeniem pomniejszona o energię kinetyczną kul po zderzeniu.