Dane:
m1 = 20 t = 20 000 kg
m2 = 40 t = 40 000 kg
k = 150 000
Zasady zachowania pędu dla układu wagonów:
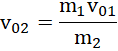
Zwroty wektorów prędkości wagonów są przeciwne, więc:
W przypadku połączenia równoległego współczynnik sprężystości układu to suma współczynników sprężystości każdej ze sprężyn.
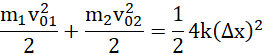
Cała energia kinetyczna wagonów została zamieniona w energię potencjalną sprężystości czterech sprężyn:
Wstawiając wartości liczbowe:
Odpowiedź: Wagon z węglem poruszał się z prędkością 0,25
Prędkość drugiego wagonu wyznacz z zasady zachowania pędu – pęd początkowy to suma pędów każdego wagonu, a pęd końcowy wynosi zero, gdyż wagony zatrzymały się. Oznacza to, że energia kinetyczna wagonów została zamieniona w energię potencjalną sprężystości sprężyn. Przyrównaj do siebie sumę energii kinetycznych wagonów i wzór na energię potencjalną sprężystości. Zwróć uwagę, w przypadku połączenia równoległego, współczynnik sprężystości układu to suma współczynników sprężystości każdej sprężyny (siła działająca na układ to suma sił działających na każdą sprężynę, dla każdej sprężyny oraz dla układu można zapisać równość pomiędzy siłą, a iloczynem współczynnika sprężystości i wysłużeniem (wszędzie taki sam), co po wstawieniu do równości dla całego układu da właśnie taką zależność).