Dane:
s = 1 m
α = 30°
v = 2
Niech
Na pudełko działa siła tarcia, więc część jej energii mechanicznej zostaje zamieniona na pracę wykonywaną przez siłę tarcia.
Na początku ruchu pudełko posiada tylko energię potencjalną:
Na końcu ruchu pudełko posiada tylko energię kinetyczną, a jej ubytek to praca wykonana przez siłę tarcia:
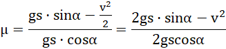
wiemy, że:
oraz:
co razem daje:
Odpowiedź: Współczynnik tarcia wynosi 0,35.
Zauważ, część energii mechanicznej ciała zostaje przekształcone w pracę wykonaną przez siłę tarcia. Suma tej pracy i pozostałej energii to nadal wartość całkowitej energii mechanicznej na początku ruchu. Na szczycie równi, pudełko ma tylko energię potencjalną (wysokość równi otrzymasz, mnożąc jej długość i sinus kąta nachylenia), zaś u podnóża – energię kinetyczną, pomniejszoną o wartość pracy siły tarcia. Siła tarcia to iloczyn masy, przyspieszenia ziemskiego i współczynnika tarcia, a praca to iloczyn siły, przemieszczenia i cosinusa kąta pomiędzy tymi wektorami – u podnóża pudełko stoi poziomo, więc kąt ma wartość α.