Dane:
s = 0,5 m
η = 40% = 0,4
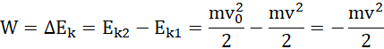
Wartość pracy jest równa wartości przyrostu energii kinetycznej:
Pracę możemy przedstawić także:
więc:
Odpowiedź: Prędkość nadana wózkowi miała wartość
Pamiętaj, praca to przyrost energii mechanicznej, czyli różnica pomiędzy wartością końcowej energii mechanicznej i wartością energii mechanicznej na początku (wózek porusza się po płaskim podłożu, więc zmianie ulega tylko energia kinetyczna). Na końcu ruchu wózek zatrzymał się, więc jego energia kinetyczna wyniosła wtedy zero. Następnie zapisz inny wzór na pracę wykonaną przez siłę oporów ruchu – jest to iloczyn tejże siły, przemieszczenia i cosinusa kąta pomiędzy nimi (siła oporów ruchu ma zwrot przeciwny do ruchu ciała, więc kąt wynosi 180 stopni). Przyrównaj do siebie otrzymane wyrażenia i wyznacz z nich szukaną prędkość.