Dane:
m1 = 150 g = 0,15 kg
v1 = 3
m2 = 850 g = 0,85 kg
Niech zwrot osi układu współrzędnych będzie zgodny z kierunkiem ruchu kuli przed zderzeniem.
W przypadku zderzenia doskonale sprężystego po zderzeniu zostaje zachowany pęd i energia kinetyczna kul.
po przekształceniu:
po podzieleniu równania drugiego przez pierwsze:
po wstawieniu otrzymanej równości do układu równań liniowych:
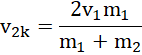
uzyskujemy:
oraz:
Po wstawieniu wartości liczbowych otrzymujemy:
Odpowiedź: Pierwsza kula porusza się z prędkością
Pamiętaj, podczas zderzenia doskonale sprężystego zostaje zachowany pęd oraz energia kinetyczna układu. Zapisując równość pędów, zwróć uwagę, wektory prędkości kul są zgodne, więc składniki należy wziąć ze znakiem plus. Aby wyznaczyć z otrzymanego układu równań szukane prędkości, należy go przekształcić – najpierw wyłącz przed nawiasy wspólne czynniki, czyli masę, następnie podziel przekształcone równanie energii przez przekształcone równanie pędu (wykorzystaj wzór skróconego mnożenia: (a2 – b2) = (a – b)(a + b)). Gdy otrzymasz równanie liniowe, wstaw go do układu równań zamiast równania kwadratowego. Znak otrzymanego wyniku oznacza zwrot wektora prędkości – wartość ujemna oznacza zwrot przeciwny do przyjętego na początku zadania osi, a wartość dodatnia – zwrot zgodny ze zwrotem osi układu współrzędnych.