Dane:
m1 = m
m2 = 2m
v01 = 2
Niech zwrot osi układu współrzędnych będzie zgodny z kierunkiem ruchu kuli przed zderzeniem.
W przypadku zderzenia doskonale sprężystego po zderzeniu zostaje zachowany pęd i energia kinetyczna kul.
po przekształceniu:
po podzieleniu równania drugiego przez pierwsze:
po wstawieniu otrzymanej równości do układu równań liniowych:
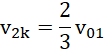
uzyskujemy:
Więc:
Odpowiedź: Pierwsza kula w momencie zderzenia przekazała drugiej kuli
Pamiętaj, podczas zderzenia doskonale sprężystego zostaje zachowany pęd oraz energia kinetyczna układu. Aby poznać stosunek energii kinetycznej drugiej kuli po zderzeniu i pierwszej kuli przed zderzeniem, musisz poznać prędkość drugiej kuli po zderzeniu. Aby wyznaczyć z otrzymanego układu równań szukaną wartość, należy go przekształcić – najpierw skróć w równaniach masę i pomnóż drugie z nich przez 2, następnie podziel przekształcone równanie energii przez przekształcone równanie pędu (wykorzystaj wzór skróconego mnożenia: (a2 – b2) = (a – b)(a + b)). Gdy otrzymasz równanie liniowe, wstaw go do układu równań zamiast równania kwadratowego. Na koniec zapisz iloraz energii kinetycznej drugiej kuli i energii kinetycznej pierwszej kuli sprzed zderzenia – prędkość drugiej kuli zapisz jako związek wyznaczony w poprzednim układzie równań.