W tym zadaniu musisz powiedzieć, co zrobić, gdy zegar się spóźnia.
Gdy zegar się spóźnia należy skrócić wahadło, ponieważ krótsze wahadło wykonuje drgania szybciej.
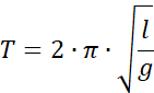
Okres drgań wahadła:
Gdzie:
l – długość wahadła, g – przyspieszenie ziemskie
Ćwiczenie 5.1.
Ćwiczenie 5.2.
Ćwiczenie 5.3.
Podpunkt a)
Podpunkt b)
Ćwiczenie 5.4.
Ćwiczenie 5.5.
Ćwiczenie 5.6.
Podpunkt c)
Podpunkt d)
Ćwiczenie 5.7.
Ćwiczenie 5.8.
Ćwiczenie 5.9.
Ćwiczenie 5.10.
Ćwiczenie 5.11.
Ćwiczenie 5.12.
Ćwiczenie 5.13.
Ćwiczenie 5.14.
Ćwiczenie 5.15.
Ćwiczenie 5.16.
Ćwiczenie 5.17.
Ćwiczenie 5.18.
Ćwiczenie 5.19.
Ćwiczenie 5.20.
Ćwiczenie 5.21.
Ćwiczenie 5.22.
Ćwiczenie 5.23.
Ćwiczenie 5.24.
Ćwiczenie 5.25.
Ćwiczenie 5.26.
Ćwiczenie 5.27.
Ćwiczenie 5.28.
Ćwiczenie 5.29.
Ćwiczenie 5.30.
Ćwiczenie 5.31.
Ćwiczenie 5.32.
Ćwiczenie 5.33.
Ćwiczenie 5.34.
Ćwiczenie 5.35.
Ćwiczenie 5.36.
Ćwiczenie 5.37.
Ćwiczenie 5.38.
Ćwiczenie 5.39.
Ćwiczenie 5.40.
Ćwiczenie 5.41.
Ćwiczenie 5.42.
Ćwiczenie 5.43.
Ćwiczenie 5.44.