W tym zadaniu musisz oszacować ilość cykli.
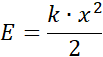
Energia potencjalna ciała drgającego:
Gdzie:
k – współczynnik sprężystości, x – wychylenie z położenia równowagi
Ćwiczenie 5.1.
Ćwiczenie 5.2.
Ćwiczenie 5.3.
Podpunkt a)
Podpunkt b)
Ćwiczenie 5.4.
Ćwiczenie 5.5.
Ćwiczenie 5.6.
Podpunkt c)
Podpunkt d)
Ćwiczenie 5.7.
Ćwiczenie 5.8.
Ćwiczenie 5.9.
Ćwiczenie 5.10.
Ćwiczenie 5.11.
Ćwiczenie 5.12.
Ćwiczenie 5.13.
Ćwiczenie 5.14.
Ćwiczenie 5.15.
Ćwiczenie 5.16.
Ćwiczenie 5.17.
Ćwiczenie 5.18.
Ćwiczenie 5.19.
Ćwiczenie 5.20.
Ćwiczenie 5.21.
Ćwiczenie 5.22.
Ćwiczenie 5.23.
Ćwiczenie 5.24.
Ćwiczenie 5.25.
Ćwiczenie 5.26.
Ćwiczenie 5.27.
Ćwiczenie 5.28.
Ćwiczenie 5.29.
Ćwiczenie 5.30.
Ćwiczenie 5.31.
Ćwiczenie 5.32.
Ćwiczenie 5.33.
Ćwiczenie 5.34.
Ćwiczenie 5.35.
Ćwiczenie 5.36.
Ćwiczenie 5.37.
Ćwiczenie 5.38.
Ćwiczenie 5.39.
Ćwiczenie 5.40.
Ćwiczenie 5.41.
Ćwiczenie 5.42.
Ćwiczenie 5.43.
Ćwiczenie 5.44.