Okres drgań:
Gdzie:
m – masa, k – współczynnik sprężystości
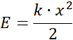
Energia potencjalna sprężystości:
Gdzie:
k – współczynnik sprężystości, x – wychylenie z położenia równowagi
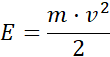
Energia kinetyczna:
Gdzie:
m – masa ciała, v - prędkość
Należy skorzystać z zasady zachowania energii. Suma energii kinetycznej i potencjalnej w każdym momencie ruchu jest taka sama.