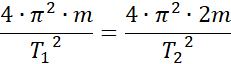
Wyznaczamy T2:
Okres drgań wzrośnie ok. 1,4 razy.
Okres drgań:
Gdzie:
m – masa, k – współczynnik sprężystości
W obu sytuacjach wykorzystujemy tę samą gumkę, więc możemy porównać ze sobą współczynniki sprężystości (są one takie same).