Różnica w okresach wystąpiła przez różnicę w położeniu środka ciężkości. Ojciec ma wyżej środek ciężkości, przez co długość wahadła jest krótsza. Co za tym idzie, okres wahadła też jest krótszy.
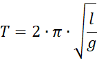
Okres drgań wahadła:
Gdzie:
l – długość wahadła, g – przyspieszenie ziemskie