W tym zadaniu musisz obliczyć okres drgań wahadła.
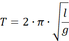
Okres drgań wahadła:
Gdzie:
l – długość wahadła, g – przyspieszenie ziemskie
Ćwiczenie 5.1.
Ćwiczenie 5.2.
Ćwiczenie 5.3.
Podpunkt a)
Podpunkt b)
Ćwiczenie 5.4.
Ćwiczenie 5.5.
Ćwiczenie 5.6.
Podpunkt c)
Podpunkt d)
Ćwiczenie 5.7.
Ćwiczenie 5.8.
Ćwiczenie 5.9.
Ćwiczenie 5.10.
Ćwiczenie 5.11.
Ćwiczenie 5.12.
Ćwiczenie 5.13.
Ćwiczenie 5.14.
Ćwiczenie 5.15.
Ćwiczenie 5.16.
Ćwiczenie 5.17.
Ćwiczenie 5.18.
Ćwiczenie 5.19.
Ćwiczenie 5.20.
Ćwiczenie 5.21.
Ćwiczenie 5.22.
Ćwiczenie 5.23.
Ćwiczenie 5.24.
Ćwiczenie 5.25.
Ćwiczenie 5.26.
Ćwiczenie 5.27.
Ćwiczenie 5.28.
Ćwiczenie 5.29.
Ćwiczenie 5.30.
Ćwiczenie 5.31.
Ćwiczenie 5.32.
Ćwiczenie 5.33.
Ćwiczenie 5.34.
Ćwiczenie 5.35.
Ćwiczenie 5.36.
Ćwiczenie 5.37.
Ćwiczenie 5.38.
Ćwiczenie 5.39.
Ćwiczenie 5.40.
Ćwiczenie 5.41.
Ćwiczenie 5.42.
Ćwiczenie 5.43.
Ćwiczenie 5.44.