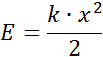
Energia potencjalna sprężystości:
Gdzie:
k – współczynnik sprężystości, x – wychylenie z położenia równowagi
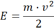
Energia kinetyczna:
Gdzie:
m – masa ciała, v - prędkość
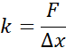
Współczynnik sprężystości sprężyny:
Gdzie:
F – siła, Δx – wychylenie z położenia równowagi