W tym zadaniu musisz oszacować częstotliwość listewki.
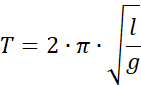
Okres drgań wahadła:
Gdzie:
l – długość wahadła, g – przyspieszenie ziemskie
Ćwiczenie 5.1.
Ćwiczenie 5.2.
Ćwiczenie 5.3.
Podpunkt a)
Podpunkt b)
Ćwiczenie 5.4.
Ćwiczenie 5.5.
Ćwiczenie 5.6.
Podpunkt c)
Podpunkt d)
Ćwiczenie 5.7.
Ćwiczenie 5.8.
Ćwiczenie 5.9.
Ćwiczenie 5.10.
Ćwiczenie 5.11.
Ćwiczenie 5.12.
Ćwiczenie 5.13.
Ćwiczenie 5.14.
Ćwiczenie 5.15.
Ćwiczenie 5.16.
Ćwiczenie 5.17.
Ćwiczenie 5.18.
Ćwiczenie 5.19.
Ćwiczenie 5.20.
Ćwiczenie 5.21.
Ćwiczenie 5.22.
Ćwiczenie 5.23.
Ćwiczenie 5.24.
Ćwiczenie 5.25.
Ćwiczenie 5.26.
Ćwiczenie 5.27.
Ćwiczenie 5.28.
Ćwiczenie 5.29.
Ćwiczenie 5.30.
Ćwiczenie 5.31.
Ćwiczenie 5.32.
Ćwiczenie 5.33.
Ćwiczenie 5.34.
Ćwiczenie 5.35.
Ćwiczenie 5.36.
Ćwiczenie 5.37.
Ćwiczenie 5.38.
Ćwiczenie 5.39.
Ćwiczenie 5.40.
Ćwiczenie 5.41.
Ćwiczenie 5.42.
Ćwiczenie 5.43.
Ćwiczenie 5.44.