Skul.pl
  • Opracowania zadań z podręczników
  • Fizyka. Klasa 8. Zeszyt ćwiczeń - rozwiązania i odpowiedzi
  • Ćwiczenie 4.

Fizyka. Klasa 8. Zeszyt ćwiczeń - rozwiązania i odpowiedzi

Zeszyt ćwiczeń, Wydawnictwo: MAC
Poprzednie

Ćwiczenie 4. - strona 56

Następne

Zadanie

Ustal, jak zmieni się wartość siły kulombowskiej, jeśli każdy z ładunków zmniejszymy 2 razy.

Rozwiązanie

Początkowa wartość siły:

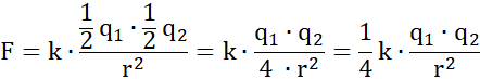
Jeśli każdy z ładunków zmniejszymy dwukrotnie:

Odpowiedź: D. zmaleje 4 razy.

Skul

Wyjaśnienie

Wykorzystaj wzór na siłę wzajemnego oddziaływania elektrostatycznego:

,

gdzie F – siła wzajemnego oddziaływania elektrostatycznego [N],

k – stała elektrostatyczna ,

q1, q2 – ładunki elektryczne [C],

r – odległość między ładunkami [m].

Poprzednie
Następne

Fizyka - wybrane pytania

Zadanie 15., strona 209, Fizyka. Klasa 7-8. Zbiór zadań - rozwiązania i odpowiedzi
Zadanie 1.15., strona 7, Świat fizyki. Klasa 7. Zbiór zadań - rozwiązania i odpowiedzi
Zadanie 1, strona 21, Spotkania z fizyką. Klasa 7. Zeszyt ćwiczeń - rozwiązania i odpowiedzi
Zadanie 4., strona 139, Fizyka. Klasa 2. Podręcznik. Zakres podstawowy - rozwiązania i odpowiedzi
Zadanie więcej 1., strona 165, Fizyka. Fizyka z plusem. Klasa 7. Podręcznik - rozwiązania i odpowiedzi
Zadanie 6, strona 38, Fizyka. Klasa 7. Podręcznik - rozwiązania i odpowiedzi
Zadanie 2., strona 205, Spotkania z fizyką. Klasa 8. Podręcznik - rozwiązania i odpowiedzi
Ćwiczenie 11.37., strona 165, Fizyka. Klasa 1-3. Zakres podstawowy. Zbiór zadań - rozwiązania i odpowiedzi
Ćwiczenie Ćwiczenie A., strona 85, To jest fizyka. Klasa 7. Podręcznik - rozwiązania i odpowiedzi
Zadanie 5, strona 84, Fizyka. Klasa 7. Podręcznik – rozwiązania i odpowiedzi
REKLAMA
Skul
Zadania z tego działu
Elektrostatyka
42
Elektryzowanie ciał przez tarcie oraz przez dotyk
42

Ćwiczenie 1.

42

Podpunkt a)

42

Podpunkt b)

42

Ćwiczenie 2.

42

Ćwiczenie 3.

42

Ćwiczenie 4.

43

Ćwiczenie 5.

43

Ćwiczenie 6.

43
Oddziaływanie ciał naelektryzowanych
45

Ćwiczenie 1.

45

Podpunkt a)

45

Podpunkt b)

45

Ćwiczenie 2.

46

Ćwiczenie 3.

46

Ćwiczenie 4.

46

Ćwiczenie 5.

47

Ćwiczenie 6.

47

Ćwiczenie 7.

47
Mikroskopowy obraz elektryzowania ciał
48

Ćwiczenie 1.

48

Ćwiczenie 2.

48

Ćwiczenie 3.

49

Ćwiczenie 4.

49

Ćwiczenie 5.

49

Ćwiczenie 6.

49

Ćwiczenie 7.

50

Ćwiczenie 8.

50

Ćwiczenie 9.

47
Elektryzowanie przez indukcję
51

Ćwiczenie 1.

51

Ćwiczenie 2.

51

Ćwiczenie 3.

52

Podpunkt a)

52

Podpunkt b)

52

Podpunkt c)

52

Ćwiczenie 4.

53

Podpunkt a)

53

Podpunkt b)

53

Ćwiczenie 5.

53
Pole elektrostatyczne
54

Ćwiczenie 1.

54

Ćwiczenie 2.

54

Ćwiczenie 3.

55

Podpunkt a)

55

Podpunkt b)

55

Podpunkt c)

55

Podpunkt d)

55

Podpunkt e)

55

Podpunkt f)

55

Ćwiczenie 4.

55
Podsumowanie działu 2
56

Ćwiczenie 1.

56

Ćwiczenie 2.

56

Ćwiczenie 3.

56

Ćwiczenie 4.

56

Ćwiczenie 5.

56

Ćwiczenie 6.

56

Ćwiczenie 7.

57

Ćwiczenie 8.

57

Ćwiczenie 9.

57

Ćwiczenie 10.

57

Ćwiczenie 11.

57

Ćwiczenie 12.

57
Pełny spis treści
Skul
Artboard 1
Skul.pl
  • Napisz do nas
  • FAQ
  • Mapa Serwisu
  • Google Play
  • App Store

Korzystanie z portalu oznacza akceptację Regulaminu.
Polityka prywatności. Ustawienia preferencji. Copyright: INTERIA.PL 1999-2023 Wszystkie prawa zastrzeżone.