Aby wartość siły elektrostatycznej między dwoma ładunkami elektrycznymi po oddaleniu ich na odległość trzykrotnie większą nie zmieniła się, należy każdy (odpowiedź A) z ładunków zwiększyć trzykrotnie (odpowiedź F). Aby wartość siły elektrostatycznej między dwoma ładunkami elektrycznymi po zbliżeniu ich na odległość dwukrotnie mniejszą nie zmieniła się, należy jeden (odpowiedź B) z ładunków zmniejszyć czterokrotnie (odpowiedź D).
Wykorzystaj wzór na siłę wzajemnego oddziaływania elektrostatycznego:
gdzie F – siła wzajemnego oddziaływania elektrostatycznego [N],
k – stała elektrostatyczna
q1, q2 – ładunki elektryczne [C],
r – odległość między ładunkami [m].
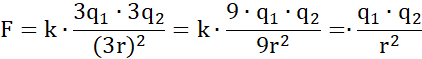
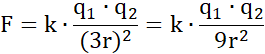
W pierwszym przypadku, jeśli odległość zwiększy się trzykrotnie:
By siła była taka sama, to należy zwiększyć ładunki trzykrotnie:
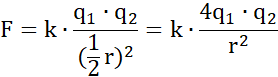
W drugim przypadku, jeśli odległość zmniejszy się dwukrotnie:
By siła była taka sama, to należy zmniejszyć ładunek czterokrotnie: