W tym zadaniu musisz obliczyć podane wielkości na podstawie wykresu.
Okres drgań:
Gdzie:
m – masa, k – współczynnik sprężystości
Siła:
m – masa, a – przyspieszenie
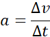
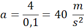
Przyspieszenie:
Δv – zmiana prędkości, Δt - czas
Ćwiczenie 5.1.
Ćwiczenie 5.2.
Ćwiczenie 5.3.
Podpunkt a)
Podpunkt b)
Ćwiczenie 5.4.
Ćwiczenie 5.5.
Ćwiczenie 5.6.
Podpunkt c)
Podpunkt d)
Ćwiczenie 5.7.
Ćwiczenie 5.8.
Ćwiczenie 5.9.
Ćwiczenie 5.10.
Ćwiczenie 5.11.
Ćwiczenie 5.12.
Ćwiczenie 5.13.
Ćwiczenie 5.14.
Ćwiczenie 5.15.
Ćwiczenie 5.16.
Ćwiczenie 5.17.
Ćwiczenie 5.18.
Ćwiczenie 5.19.
Ćwiczenie 5.20.
Ćwiczenie 5.21.
Ćwiczenie 5.22.
Ćwiczenie 5.23.
Ćwiczenie 5.24.
Ćwiczenie 5.25.
Ćwiczenie 5.26.
Ćwiczenie 5.27.
Ćwiczenie 5.28.
Ćwiczenie 5.29.
Ćwiczenie 5.30.
Ćwiczenie 5.31.
Ćwiczenie 5.32.
Ćwiczenie 5.33.
Ćwiczenie 5.34.
Ćwiczenie 5.35.
Ćwiczenie 5.36.
Ćwiczenie 5.37.
Ćwiczenie 5.38.
Ćwiczenie 5.39.
Ćwiczenie 5.40.
Ćwiczenie 5.41.
Ćwiczenie 5.42.
Ćwiczenie 5.43.
Ćwiczenie 5.44.