W tym zadaniu musisz oszacować czas zwrotu inwestycji.
Praca przy standardowych żarówkach (dziennie):
Przy nowym oświetleniu (dziennie):
Koszt wymiany:
Różnica zużycia energii na dzień:
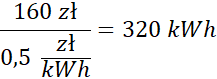
Czas zwrotu:
Moc:
Gdzie:
W – praca, t - czas
Ćwiczenie 10.1.
Ćwiczenie 10.2.
Ćwiczenie 10.3.
Ćwiczenie 10.4.
Ćwiczenie 10.5.
Ćwiczenie 10.6.
Ćwiczenie 10.7.
Ćwiczenie 10.8.
Ćwiczenie 10.9.
Podpunkt a)
Podpunkt b)
Ćwiczenie 10.10.
Ćwiczenie 10.11.
Ćwiczenie 10.12.
Ćwiczenie 10.13.
Ćwiczenie 10.14.
Ćwiczenie 10.15.
Ćwiczenie 10.16.
Ćwiczenie 10.17.
Ćwiczenie 10.18.
Ćwiczenie 10.19.
Ćwiczenie 10.20.
Ćwiczenie 10.21.
Ćwiczenie 10.22.
Ćwiczenie 10.23.
Ćwiczenie 10.24.
Ćwiczenie 10.25.
Podpunkt c)
Ćwiczenie 10.26.
Ćwiczenie 10.27.
Ćwiczenie 10.28.
Ćwiczenie 10.29.
Ćwiczenie 10.30.
Ćwiczenie 10.31.
Ćwiczenie 10.32.
Ćwiczenie 10.33.
Ćwiczenie 10.34.
Ćwiczenie 10.35.
Ćwiczenie 10.36.
Ćwiczenie 10.37.
Ćwiczenie 10.38.
Ćwiczenie 10.39.
Ćwiczenie 10.40.
Ćwiczenie 10.41.
Ćwiczenie 10.42.
Ćwiczenie 10.43.
Ćwiczenie 10.44.
Ćwiczenie 10.45.
Ćwiczenie 10.46.
Ćwiczenie 10.47.
Ćwiczenie 10.48.
Ćwiczenie 10.49.
Ćwiczenie 10.50.
Ćwiczenie 10.51.
Ćwiczenie 10.52.
Ćwiczenie 10.53.
Ćwiczenie 10.54.
Ćwiczenie 10.55.
Ćwiczenie 10.56.
Ćwiczenie 10.57.
Ćwiczenie 10.58.
Ćwiczenie 10.59.
Ćwiczenie 10.60.
Ćwiczenie 10.61.
Ćwiczenie 10.62.
Ćwiczenie 10.63.
Ćwiczenie 10.64.
Ćwiczenie 10.65.
Ćwiczenie 10.66.
Ćwiczenie 10.67.
Ćwiczenie 10.68.