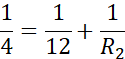
W tym zadaniu musisz obliczyć opór.
Jeśli podłączamy oporniki równolegle to odwrotność oporu całkowitego układu równa się sumie odwrotności oporów poszczególnych oporników.
Ćwiczenie 10.1.
Ćwiczenie 10.2.
Ćwiczenie 10.3.
Ćwiczenie 10.4.
Ćwiczenie 10.5.
Ćwiczenie 10.6.
Ćwiczenie 10.7.
Ćwiczenie 10.8.
Ćwiczenie 10.9.
Podpunkt a)
Podpunkt b)
Ćwiczenie 10.10.
Ćwiczenie 10.11.
Ćwiczenie 10.12.
Ćwiczenie 10.13.
Ćwiczenie 10.14.
Ćwiczenie 10.15.
Ćwiczenie 10.16.
Ćwiczenie 10.17.
Ćwiczenie 10.18.
Ćwiczenie 10.19.
Ćwiczenie 10.20.
Ćwiczenie 10.21.
Ćwiczenie 10.22.
Ćwiczenie 10.23.
Ćwiczenie 10.24.
Ćwiczenie 10.25.
Podpunkt c)
Ćwiczenie 10.26.
Ćwiczenie 10.27.
Ćwiczenie 10.28.
Ćwiczenie 10.29.
Ćwiczenie 10.30.
Ćwiczenie 10.31.
Ćwiczenie 10.32.
Ćwiczenie 10.33.
Ćwiczenie 10.34.
Ćwiczenie 10.35.
Ćwiczenie 10.36.
Ćwiczenie 10.37.
Ćwiczenie 10.38.
Ćwiczenie 10.39.
Ćwiczenie 10.40.
Ćwiczenie 10.41.
Ćwiczenie 10.42.
Ćwiczenie 10.43.
Ćwiczenie 10.44.
Ćwiczenie 10.45.
Ćwiczenie 10.46.
Ćwiczenie 10.47.
Ćwiczenie 10.48.
Ćwiczenie 10.49.
Ćwiczenie 10.50.
Ćwiczenie 10.51.
Ćwiczenie 10.52.
Ćwiczenie 10.53.
Ćwiczenie 10.54.
Ćwiczenie 10.55.
Ćwiczenie 10.56.
Ćwiczenie 10.57.
Ćwiczenie 10.58.
Ćwiczenie 10.59.
Ćwiczenie 10.60.
Ćwiczenie 10.61.
Ćwiczenie 10.62.
Ćwiczenie 10.63.
Ćwiczenie 10.64.
Ćwiczenie 10.65.
Ćwiczenie 10.66.
Ćwiczenie 10.67.
Ćwiczenie 10.68.