W tym zadaniu musisz powiedzieć, w jaką energię zmienia się energia kinetyczna pojazdu, który hamuje.
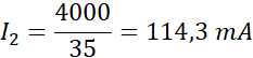
Tryb czuwania:
Tryb rozmowy:
Należy podzielić pojemność przez czas.
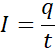
Natężenie prądu:
Gdzie:
q – ładunek elektryczny, t – czas przepływu ładunku
Pojemność to sumaryczny ładunek.
Ćwiczenie 10.1.
Ćwiczenie 10.2.
Ćwiczenie 10.3.
Ćwiczenie 10.4.
Ćwiczenie 10.5.
Ćwiczenie 10.6.
Ćwiczenie 10.7.
Ćwiczenie 10.8.
Ćwiczenie 10.9.
Podpunkt a)
Podpunkt b)
Ćwiczenie 10.10.
Ćwiczenie 10.11.
Ćwiczenie 10.12.
Ćwiczenie 10.13.
Ćwiczenie 10.14.
Ćwiczenie 10.15.
Ćwiczenie 10.16.
Ćwiczenie 10.17.
Ćwiczenie 10.18.
Ćwiczenie 10.19.
Ćwiczenie 10.20.
Ćwiczenie 10.21.
Ćwiczenie 10.22.
Ćwiczenie 10.23.
Ćwiczenie 10.24.
Ćwiczenie 10.25.
Podpunkt c)
Ćwiczenie 10.26.
Ćwiczenie 10.27.
Ćwiczenie 10.28.
Ćwiczenie 10.29.
Ćwiczenie 10.30.
Ćwiczenie 10.31.
Ćwiczenie 10.32.
Ćwiczenie 10.33.
Ćwiczenie 10.34.
Ćwiczenie 10.35.
Ćwiczenie 10.36.
Ćwiczenie 10.37.
Ćwiczenie 10.38.
Ćwiczenie 10.39.
Ćwiczenie 10.40.
Ćwiczenie 10.41.
Ćwiczenie 10.42.
Ćwiczenie 10.43.
Ćwiczenie 10.44.
Ćwiczenie 10.45.
Ćwiczenie 10.46.
Ćwiczenie 10.47.
Ćwiczenie 10.48.
Ćwiczenie 10.49.
Ćwiczenie 10.50.
Ćwiczenie 10.51.
Ćwiczenie 10.52.
Ćwiczenie 10.53.
Ćwiczenie 10.54.
Ćwiczenie 10.55.
Ćwiczenie 10.56.
Ćwiczenie 10.57.
Ćwiczenie 10.58.
Ćwiczenie 10.59.
Ćwiczenie 10.60.
Ćwiczenie 10.61.
Ćwiczenie 10.62.
Ćwiczenie 10.63.
Ćwiczenie 10.64.
Ćwiczenie 10.65.
Ćwiczenie 10.66.
Ćwiczenie 10.67.
Ćwiczenie 10.68.