W tym zadaniu musisz porównać czas zagotowania wody.
Grzałka przy 230 V:
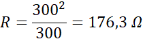
Grzałka przy 110 V:
Stosunek czasów:
Zagotowanie wody w Ameryce będzie trwało 4,38 razy dłużej.
Moc prądu elektrycznego:
Gdzie:
U – napięcie, I – natężenie
Moc:
W – praca, t – czas
Energia:
m – masa, cw – ciepło właściwe, ΔT – zmiana temperatury
Opór elektryczny:
Ćwiczenie 10.1.
Ćwiczenie 10.2.
Ćwiczenie 10.3.
Ćwiczenie 10.4.
Ćwiczenie 10.5.
Ćwiczenie 10.6.
Ćwiczenie 10.7.
Ćwiczenie 10.8.
Ćwiczenie 10.9.
Podpunkt a)
Podpunkt b)
Ćwiczenie 10.10.
Ćwiczenie 10.11.
Ćwiczenie 10.12.
Ćwiczenie 10.13.
Ćwiczenie 10.14.
Ćwiczenie 10.15.
Ćwiczenie 10.16.
Ćwiczenie 10.17.
Ćwiczenie 10.18.
Ćwiczenie 10.19.
Ćwiczenie 10.20.
Ćwiczenie 10.21.
Ćwiczenie 10.22.
Ćwiczenie 10.23.
Ćwiczenie 10.24.
Ćwiczenie 10.25.
Podpunkt c)
Ćwiczenie 10.26.
Ćwiczenie 10.27.
Ćwiczenie 10.28.
Ćwiczenie 10.29.
Ćwiczenie 10.30.
Ćwiczenie 10.31.
Ćwiczenie 10.32.
Ćwiczenie 10.33.
Ćwiczenie 10.34.
Ćwiczenie 10.35.
Ćwiczenie 10.36.
Ćwiczenie 10.37.
Ćwiczenie 10.38.
Ćwiczenie 10.39.
Ćwiczenie 10.40.
Ćwiczenie 10.41.
Ćwiczenie 10.42.
Ćwiczenie 10.43.
Ćwiczenie 10.44.
Ćwiczenie 10.45.
Ćwiczenie 10.46.
Ćwiczenie 10.47.
Ćwiczenie 10.48.
Ćwiczenie 10.49.
Ćwiczenie 10.50.
Ćwiczenie 10.51.
Ćwiczenie 10.52.
Ćwiczenie 10.53.
Ćwiczenie 10.54.
Ćwiczenie 10.55.
Ćwiczenie 10.56.
Ćwiczenie 10.57.
Ćwiczenie 10.58.
Ćwiczenie 10.59.
Ćwiczenie 10.60.
Ćwiczenie 10.61.
Ćwiczenie 10.62.
Ćwiczenie 10.63.
Ćwiczenie 10.64.
Ćwiczenie 10.65.
Ćwiczenie 10.66.
Ćwiczenie 10.67.
Ćwiczenie 10.68.