W tym zadaniu musisz obliczyć natężenie prądu w dwóch przypadkach.
Dla 25℃: 18 Ω
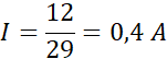
Dla 2500℃: 29 Ω
Opór elektryczny:
Gdzie:
U – napięcie, I – natężenie
Ćwiczenie 10.1.
Ćwiczenie 10.2.
Ćwiczenie 10.3.
Ćwiczenie 10.4.
Ćwiczenie 10.5.
Ćwiczenie 10.6.
Ćwiczenie 10.7.
Ćwiczenie 10.8.
Ćwiczenie 10.9.
Podpunkt a)
Podpunkt b)
Ćwiczenie 10.10.
Ćwiczenie 10.11.
Ćwiczenie 10.12.
Ćwiczenie 10.13.
Ćwiczenie 10.14.
Ćwiczenie 10.15.
Ćwiczenie 10.16.
Ćwiczenie 10.17.
Ćwiczenie 10.18.
Ćwiczenie 10.19.
Ćwiczenie 10.20.
Ćwiczenie 10.21.
Ćwiczenie 10.22.
Ćwiczenie 10.23.
Ćwiczenie 10.24.
Ćwiczenie 10.25.
Podpunkt c)
Ćwiczenie 10.26.
Ćwiczenie 10.27.
Ćwiczenie 10.28.
Ćwiczenie 10.29.
Ćwiczenie 10.30.
Ćwiczenie 10.31.
Ćwiczenie 10.32.
Ćwiczenie 10.33.
Ćwiczenie 10.34.
Ćwiczenie 10.35.
Ćwiczenie 10.36.
Ćwiczenie 10.37.
Ćwiczenie 10.38.
Ćwiczenie 10.39.
Ćwiczenie 10.40.
Ćwiczenie 10.41.
Ćwiczenie 10.42.
Ćwiczenie 10.43.
Ćwiczenie 10.44.
Ćwiczenie 10.45.
Ćwiczenie 10.46.
Ćwiczenie 10.47.
Ćwiczenie 10.48.
Ćwiczenie 10.49.
Ćwiczenie 10.50.
Ćwiczenie 10.51.
Ćwiczenie 10.52.
Ćwiczenie 10.53.
Ćwiczenie 10.54.
Ćwiczenie 10.55.
Ćwiczenie 10.56.
Ćwiczenie 10.57.
Ćwiczenie 10.58.
Ćwiczenie 10.59.
Ćwiczenie 10.60.
Ćwiczenie 10.61.
Ćwiczenie 10.62.
Ćwiczenie 10.63.
Ćwiczenie 10.64.
Ćwiczenie 10.65.
Ćwiczenie 10.66.
Ćwiczenie 10.67.
Ćwiczenie 10.68.