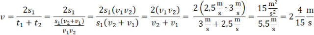
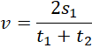
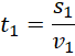
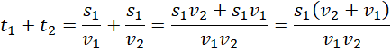
Zauważ, że dwa odcinki drogi są takiej samej długości, ale pokonane z różnymi prędkościami. Oznacza to, że czas pokonania każdego odcinka, mimo tej samej długości, będzie różny. Średnia prędkość to całkowita pokonana droga, czyli dwa odcinki trasy, podzielona przez całkowity czas, czyli sumę czasu potrzebnego do pokonania pierwszego odcinka trasy i czasu potrzebnego do pokonania drugiego odcinka trasy. Zwróć uwagę, że po podstawieniu do wzoru odpowiednich zmiennych, długość odcinka się skróci – oznacza to, że zadanie można rozwiązać nie wiedząc, jakiej długości był odcinek do pokonania.