Zadanie

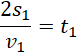
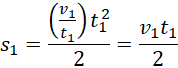
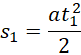
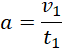
Wyznacz, z jakim przyspieszeniem poruszała się, kapsuła zrzucona z balonu meteorologicznego. Wiadomo, że balon wzniósł się 17 km nad powierzchnię ziemi, odczepiono kapsułę, która spadając, osiągnęła prędkość 1260 po przebyciu drogi 7 km. W tym momencie otworzyła się pierwsza czasza spadochronu, przez co kapsuła zaczęła spadać ze stałą prędkością 600, pokonując w ten sposób drogę 6000 m. Następnie otworzyła się druga czasza, dzięki czemu kapsuła opadła z prędkością 6 .

Rozwiązanie

Wyjaśnienie

Zadania z tego działu
2. Ruch prostoliniowy
24
Jak opisać położenie ciała
30
Opis ruchu prostoliniowego
34