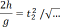
Ciężarek wznosi się do góry:
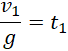
Ciężarek spada:
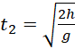
Suma czasu wznoszenia i opadania:
Ciężarek, zanim zacznie opadać, będzie się chwilowo unosił do góry razem z gondolą. Oblicz najpierw ten czas. Następnie musisz policzyć, jak długo ciężarek będzie spadał z wysokości 300 metrów. Tutaj wykorzystujesz wzór na drogę w ruchu przyspieszonym, ponieważ będzie to spadek swobodny. Aby obliczyć, jak długo będzie ciężarek spadał od momentu wyrzucenia go z gondoli, musisz zsumować oba czasy.