1 = 100 m
t = 9,94 s
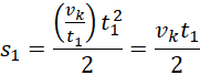
Zatem:
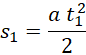
Cała droga:
Wyznaczenie prędkości końcowej:
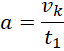
Przyspieszenie:
W zadaniu tym rozbij sobie pokonaną trasę na dwie części: kiedy zawodnik przyspiesza oraz kiedy porusza się ze stałą prędkością. Przyspieszenie, jakie osiąga to uzyskana prędkość końcowa podzielona przez czas, w jakim przyspieszał. Zwróć uwagę, że druga część trasy została pokonana w czasie, który jest różnicą całkowitego czasu i czasu pokonania pierwszej części trasy. Przekształcasz utworzone wzory tak, aby uzyskać prędkość końcową, a mając ją, możesz obliczyć przyspieszenie zawodnika.