Wyznacz, jaką drogę pokonał samochód w pierwszej i trzeciej sekundzie ruchu, jeśli poruszał się ruchem przyspieszonym i w trzeciej sekundzie jego prędkość wynosiła 18 .
Rozwiązanie
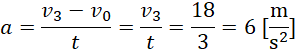
t = 3 s
= 18
Wyjaśnienie
Przyspieszenie to iloraz zmiany prędkości do czasu, w jakim ta zmiana nastąpiła. Prędkość początkowa samochodu wyniosła 0 , ponieważ samochód startował, czyli początkowo nie przemieszczał się. Aby obliczyć, ile samochód przejechał tylko w 3 sekundzie, musisz obliczyć, jaką całkowitą drogę pokonał przez 3 sekundy i odjąć od wyniku drogę, jaką pokonał przez 2 sekundy. Korzystasz tutaj ze wzoru na drogę w ruchu jednostajnie przyspieszonym: .