Zadanie

Oblicz, po jakim czasie i w jakiej odległości od punktu kontrolnego spotkają się dwa samochody. Pierwszy z nich jedzie przez punkt kontrolny z prędkością i przyspieszeniem , natomiast drugi jedzie z prędkością i przyspieszeniem .

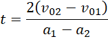
Rozwiązanie

Wyjaśnienie

Zadania z tego działu
2. Ruch prostoliniowy
24
Jak opisać położenie ciała
30
Opis ruchu prostoliniowego
34