Zadanie

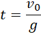
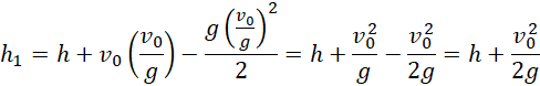
Piłkarz, którego wzrost to 1,95 m, uderza głową piłkę i nadaje jej początkową prędkość 5 , po czym odsuwa się, a piłka uderza w ziemię. Twoim zadaniem jest obliczyć, na jaką wysokość wzniesie się piłka i wyznaczyć prędkość, z jaką wyląduje na ziemi.

Rozwiązanie

Wyjaśnienie

Zadania z tego działu
2. Ruch prostoliniowy
24
Jak opisać położenie ciała
30
Opis ruchu prostoliniowego
34