Zadanie

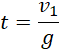
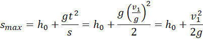
Z wyrzutni piłeczek wystrzelono piłkę do góry z prędkością 6 . Wyznacz maksymalną wysokość, na jaką wzniesie się piłka. Załóż, że rozpoczęła ruch pół metra nad kortem, którego poziom masz przyjąć jako początek układu współrzędnych. Załóż także, że przyspieszenie ziemskie wynosi 10 .

Rozwiązanie

Wyjaśnienie

Zadania z tego działu
2. Ruch prostoliniowy
24
Jak opisać położenie ciała
30
Opis ruchu prostoliniowego
34