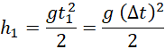
Uczniowie powiesili na cienkiej nici sześć ciężarków o takiej samej masie w ten sposób, że odległości pomiędzy nimi to ciąg liczb: 1 dm, 3 dm, 5 dm… Następnie puścili nić i słuchali, w jakich odstępach czasu ciężarki spadały na podłogę. Udowodnij, że w takiej kombinacji zachodzi równość:
Rozwiązanie
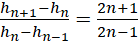
Z tego wynika, że:
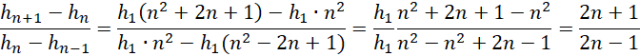
Lewa strona równania:
Jest to prawa strona równania.
Wyjaśnienie
Rozpisz sobie kolejne wysokości, jakie pokonają obciążniki, jednak zwróć uwagę, aby jako czas spadku podać wielokrotność odstępu czasu.