Zadanie

Pomyśl, czy Jaś może obliczyć prędkość dźwięku w powietrzu na podstawie wykonanych pomiarów.

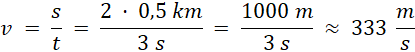
Rozwiązanie

Wyjaśnienie

Zadania z tego działu
Dział 4. Jak opisujemy ruch
25

Zadania przypisane do działu

Zadanie 4.3.

25

Zadanie 4.5.

25

Zadanie 4.6.

26

Zadanie 4.9.

26

Zadanie 4.11.

27

Zadanie 4.12.

27

Zadanie 4.13.

27

Zadanie 4.14.

28

Zadanie 4.17.

28

Zadanie 4.18.

28

Zadanie 4.19.

29

Zadanie 4.28.

30

Zadanie 4.29.

30

Zadanie 4.31.

30

Zadanie 4.35.

32

Zadanie 4.36.

33

Zadanie 4.38.

33

Zadanie 4.40.

34