Oblicz drogę, jaką pokonał pociąg hamując.
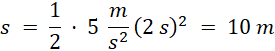
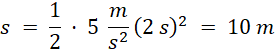
Pociąg w czasie hamowania przejechał 10 m.
Aby obliczyć, jaką drogę pokonał pociąg hamując, najpierw policz jego opóźnienie.
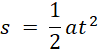
W ruchu jednostajnie przyspieszonym przebytą drogę opisuje równanie:
Zadanie 4.1.
Zadanie 4.2.
Zadanie 4.3.
Podpunkt a)
Podpunkt b)
Podpunkt c)
Zadanie 4.4.
Zadanie 4.5.
Podpunkt d)
Zadanie 4.6.
Zadanie 4.7.
Zadanie 4.8.
Zadanie 4.9.
Zadanie 4.10.
Zadanie 4.11.
Zadanie 4.12.
Zadanie 4.13.
Zadanie 4.14.
Zadanie 4.15.
Zadanie 4.16.
Zadanie 4.17.
Zadanie 4.18.
Zadanie 4.19.
Zadanie 4.20.
Zadanie 4.21.
Zadanie 4.22.
Zadanie 4.23.
Zadanie 4.24.
Zadanie 4.25.
Zadanie 4.26.
Zadanie 4.27.
Zadanie 4.28.
Podpunkt e)
Zadanie 4.29.
Zadanie 4.30.
Zadanie 4.31.
Zadanie 4.32.
Zadanie 4.33.
Zadanie 4.34.
Zadanie 4.35.
Zadanie 4.36.
Zadanie 4.37.
Zadanie 4.38.
Zadanie 4.39.
Zadanie 4.40.