Oblicz wartość przyspieszenia Piotrusia.
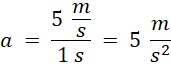
Piotruś poruszał się z przyspieszeniem 5 .
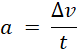
Przyspieszenie jest miarą, o ile wzrosła szybkość ciała w danym przedziale czasu.
W każdej sekundzie ruchu prędkość Piotrusia rosła o 5 , czyi poruszał się z przyspieszeniem:
Zadanie 4.1.
Zadanie 4.2.
Zadanie 4.3.
Podpunkt a)
Podpunkt b)
Podpunkt c)
Zadanie 4.4.
Zadanie 4.5.
Podpunkt d)
Zadanie 4.6.
Zadanie 4.7.
Zadanie 4.8.
Zadanie 4.9.
Zadanie 4.10.
Zadanie 4.11.
Zadanie 4.12.
Zadanie 4.13.
Zadanie 4.14.
Zadanie 4.15.
Zadanie 4.16.
Zadanie 4.17.
Zadanie 4.18.
Zadanie 4.19.
Zadanie 4.20.
Zadanie 4.21.
Zadanie 4.22.
Zadanie 4.23.
Zadanie 4.24.
Zadanie 4.25.
Zadanie 4.26.
Zadanie 4.27.
Zadanie 4.28.
Podpunkt e)
Zadanie 4.29.
Zadanie 4.30.
Zadanie 4.31.
Zadanie 4.32.
Zadanie 4.33.
Zadanie 4.34.
Zadanie 4.35.
Zadanie 4.36.
Zadanie 4.37.
Zadanie 4.38.
Zadanie 4.39.
Zadanie 4.40.