Wykonaj rysunek pomocniczy soczewki A:
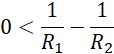
Jak widać na rysunku, masz do czynienia z soczewką wypukło-wklęsłą, a
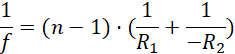
Wykorzystaj równanie soczewki umiejscowionej w powietrzu, które ma następującą postać:
W wyniku tych obserwacji, korzystając z równania soczewki, można wyznaczyć ogniskową soczewki.
Ponieważ:
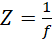
Zdolność skupiająca soczewki to odwrotność ogniskowej soczewki
Wykazano więc, że soczewka jest soczewką skupiającą.
Teraz wykonaj rysunek pomocniczy soczewki B:
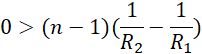
Po przeanalizowaniu drugiego rysunku, zauważasz ponownie, że
Wykorzystaj równanie soczewki umiejscowionej w powietrzu, które ma następującą postać:
W wyniku tych obserwacji, korzystając z równania soczewki, można wyznaczyć ogniskową soczewki.
Wykazano więc, że soczewka jest soczewką rozpraszającą.
Zadanie polega na analizie własności optycznych soczewek opartych na ich krzywiznach i materiale, z którego zostały wykonane. Kluczowym narzędziem do rozwiązania problemu jest równanie soczewki dla powietrza, które łączy ogniskową soczewki z jej promieniami krzywizny oraz współczynnikiem załamania materiału.
W pierwszej części zadania skupiasz się na soczewce wypukło-wklęsłej. Narysuj rysunek pomocniczy. Na jego podstawie będziesz w stanie uzasadnić, że oznaczenie jednej ze stron soczewki jako wklęsłej implikuje, że odpowiadający jej promień krzywizny jest ujemny. Dzięki temu możesz przekształcić równanie soczewki i wyznaczyć ogniskową. W konsekwencji dowiesz się o zachowaniu optycznym soczewki - w tym przypadku jest to soczewka skupiająca.
W części drugie analizujesz inną soczewkę. Podobnie jak w części pierwszej, musisz bazować na promieniach krzywizn soczewki oraz równaniu soczewki. Narysuj rysunek pomocniczy. Na jego podstawie oraz z analizy wyprowadzisz wniosek, że masz do czynienia z soczewką rozpraszającą.
W obu przypadkach kluczem do zrozumienia zachowania soczewki jest połączenie obserwacji geometrycznych (krzywizny soczewki) z fizyczną analizą (równaniem soczewki). Wzory matematyczne pozwalają przewidzieć, czy danej soczewki skupiają czy rozpraszają światło, bazując jedynie na jej kształcie i materiale.